viernes, 12 de enero de 2018

Derivada.

En los siglos XVI y XVII se plantearon problemas cuyo fin era resolver la forma en que varia una cantidad a otra, como en la Física. Estos problemas impulsaron el surgimiento del Calculo Integral y, en consecuencia, del Calculo diferencial. El calculo es la parte de las matemáticas que estudia el movimiento y el cambio. El calculo nació del desarrollo de cuatro problemas planteados en el siglo XVII:
  1. El problema de la tangente.
  2. El problema de la aceleración.
  3. El problema de máximos y mínimos.
  4. El problema del área.
Ejemplo:
Para producir 500 toneladas de jitomates se necesitan:
Se usa la función cx=2x2-6x.
image
  • ¿Cuanto deberá pagarse por 30 toneladas la producción, es decir, reproducir 530 toneladas de jitomate?
Primero se identifican las derivadas.
imagePara obtener el costo de producción de 30 toneladas usaremos la operación derivadas teniendo en cuenta x=500 ton tenemos lo siguiente:
image
El costo de 530ton=556,820.00

Concepto geométrico

El concepto de derivada es sugerido geométricamente, en principio mediante la noción intuitiva de la tangente a la curva y=f(x) y un punto fijo P(a,f(a)) en ella. Si se toma otro punto Q(b, f(b)) en la curva y se traza una secante lPQ ocupara las diversas posiciones de P y Q’ · P y Q”, etc. Con la aproximación por la curva del punto Q al punto P, la secante lPQ tiende a ocupará la posición de una recta determinada, la cual se llama tangente a la curva en el punto P. Esta tangente es caracterizada por el ángulo α entre su dirección y el eje x positivo.

Punto Q (b, f (b)) en la curva y se trata una secante
clip_image001[4]_thumb

Diversas posiciones de P y Q

clip_image002[4]_thumb
En la grafica, la recta l intersecta a la función f=(x) en los puntos P(a,f(a)) y Q(b,f(b)), donde la recta forma el ángulo α respecto al eje x, por lo que la tangente α es:
image_thumbPero Δy = ƒ(b) - ƒ(a) y Δx = b - a; por lo tanto, la pendiente de la secante l de la
curva está dada por:
image_thumb[1]El límite de las secantes, o la recta que pasa por P(a,f(a)) y tiene por pendiente:
image_thumb[2]
Si se designa al límite con m, la ecuación de la recta tangente es:
image_thumb[3]
image_thumb[4]Nótese que la tangente a una curva en un punto se define como el límite de las secantes a esa misma curva se pasan por ese punto, y no como la recta que “corta” a la curva en un punto.
Ahora sea f(x) una función en intervalo abierto que contiene al número real . En la figura de la derecha se muestra la gráfica de f y una recta secante lPQ que pasa por P(a, ƒ (a)) y Q(x, ƒ (x)). La recta de trazo punteado l representa una posible recta tangente en el punto P.
La pendiente m de l es el valor límite de la pendiente lPQ cuando tiende a P, de tal forma que:
image_thumb[5]Siempre y cuando exista el límite.
image_thumb[6]Si x≠ a, entonces existe un número real ℎ≠0, tal que x=a+ℎ (es decir, ℎ = x−a), como se muestra en la figura.
Y la pendiente m será:
image_thumb[7]
Este límite es uno de los conceptos fundamentales del calculo y se llama derivada de la función f en a.
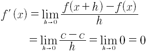
Sea f una función definida en un intervalo abierto que contiene a a. La derivada de f en a, denotada por f’(a), está dada por:
image_thumb[8]
Si, este límite existe.
La notación f’(a) se lee f prima de a. Cuando f’(a) existe, significa que el limite existe, y se dice que la función f es derivable en a o que f tiene derivada en a.

Como razón de cambio

La derivada es útil en muchas aplicaciones, tales como estudiar y medir cantidades que varían con el tiempo. Si t es el tiempo y f(t) es la medida de una cantidad física, por ejemplo:
  1. f(t) es la distancia recorrida por un automóvil desde un momento inicial t0’.
  2. f(t) el numero de habitantes de una población de un país o un cultivo de bacterias.
  3. f(t) el volumen de agua de una represa.
La variación que ha sufrido la cantidad f(t) en el tiempo transcurrido desde t0 hasta t y la razón:
image
Es la variación que ha sufrido esa cantidad por unidad de tiempo transcurrido, es decir, la razón de cambio de la cantidad que se está midiendo.
Ejemplo:
Si f(t) es la distancia recorrida por un automóvil que se mueve en línea recta, entonces la razón de cambio es la velocidad media del automóvil en el lapso de tiempo de t0 a at. Si se grafica la función f(t),  donde en el eje x se ubica a la variable del tiempo t, y en el eje y a la variable de distancia d, entonces se obtiene una curva, como en la siguiente figura:
image
La pendiente m de la secante a esta curva por los puntos P y Q, es:
imageSi el carro se desplaza con un movimiento rectilíneo uniforme a velocidad constante, entonces el gráfico es una recta, la cual coincide con la secante y la velocidad es la pendiente de la secante.
Ahora, sea w una variable que es un función del tiempo, tal que se tiene w=f(t), donde f es una función derivable. LA diferencia entre el valor inicial y el final de w en el intervalo de tiempo [t, t, +h] es (t+h)-f(t).
Si w=f(t), donde f es derivable y t representa el tiempo, entonces:
  • La tasa o razón media de variación de w=f(t) en el intervalo [t, t+h] es:
  • image
  • La tasa o razón de variación de w=f(t) con respecto a t es:
image
Las unidades que deben usarse dependen de la naturaleza de la cantidad representada por w. A veces se llama a dw/dt la tasa o razón instantánea de variación de w con respecto a t.
Si un punto se mueve sobre una recta coordenada l, de manera que su coordenada al tiempo (t) es  s(t) (se muestra a continuación), donde s(t) es la función de posición de P
imagePor lo que s’(t) es la velocidad v(t) de P al tiempo.
imageLa velocidad es la tasa de variación de s(t) con respecto al tiempo (su rapidez de variación).
La aceleración a(t) de P al tiempo t se define como la tasa de cambio de la velocidad con respecto al tiempo, es decir:
imagePor lo tanto, la aceleración es la segunda derivada de s”(t).
Si  P es un punto sobre una recta coordenada de l, tan que su posición al tiempo t está dada por s(t), donde s es una función derivable, entonces:
  1. La velocidad v(t) de t al tiempo es v(t) =s’(t).
  2. La rapidez de P al tiempo es |v(t)|.
  3. La aceleración a(t) de P al tiempo t es a(t) =v’(t)=s”(t).
Por lo que se llama función velocidad de P y a es la función de la aceleración de P. Se utiliza también la notación:
imageLa función de posición de un punto P que se mueve sobre una recta esta dada por:
image¿Cual es la velocidad o tasa de variación de s(t) con respecto al tiempo? y ¿Cual es la tasa de cambio de la velocidad con respecto al tiempo?
Realizando la primera y segunda derivada de la función se tiene que:
imageNo siempre la variable es el tiempo.  Por ejemplo, si en física o química se estudia una solución en un recipiente al cual se le agrega un líquido, la variable x puede ser el volumen total de líquido y f(x) la masa de ese volumen. Como la razón masa/volumen es la densidad, la razón de cambio es:
image
La cual es la densidad del volumen agregado a la solución.

Obtención de una derivada.

Cuando f es derivable para todo x, asociando a cada el número ƒ’(x), se obtiene una función f’ llamada derivada de f. El valor de f’ en x esta dado por el siguiente límite:
image
El número x es fijo pero arbitrario y el limite se toma haciendo tender h a cero. Derivar f(x), significa determinar a f’(x).
Sea la función f(x)-2x3+4x2-4, encontrar f’(x)
image1. Derivada de la función constante.
Si la función constante definida por f(x)=c para todo:
image
2. Derivada de la función identidad (variable independiente).
Si para todo f(x)=x, para todo x, entonces:
image
3. Derivada de la función potencia.
Sea f(x)=xn, entonces:
imageUsando el Teorema del Binomio:
imageTodos los términos después del primero contienen un factor h elevado a alguna potencia entera. Restando xn y dividiendo entre h se obtiene:
image
Como todos los términos dentro del paréntesis, excepto el primero, contienen una potencia de h, la derivada queda como:
imagePara la función x ≠ 0, la función potencial es válida también cuando n=0, pues en este caso f(x)=X0=1, y
imageEjemplo:
Dada la función y=x4, encontrar dx/dy
image4. Derivada de una función por una constante.
Sean f(x) y g(x) funciones y una constante, donde g(x)=c·f(x), entonces:
image
Para el caso especial f(x)=cxn, al derivar cxn se multiplica el coeficiente c por el exponente n y se le resta 1 al exponente original.
imageEjemplo:
La función y=5x4, encontrar f’(x).
image5. Derivada de una suma de funciones.
Sea f(x), g(x) y  k(x) funciones, donde k(x)=f(x)+g(x), entonces:
image
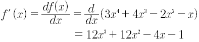
Ejemplo:
Encontrar la f’(x) de la función f(x)=3x4+4x2-2x2-x
image6. Derivada de un producto de funciones.
Sean f(x), g(x) y k(x) funciones, donde k(x)=f(x) · g(x), entonces:
image
Para cambiar la forma del cociente de manera que el límite pueda evaluarse, se suma y resta la expresión f(x+h)g(x) en el numerador. Entonces:
image
Lo cual puede escribirse así:
imageComo f es derivable en x y también es continua en x. por lo tanto limh→0 ƒ(x + h) = ƒ(x). También limh→0 g(x), ya que x se mantiene fijo al tomar el límite. Finalmente, aplicando la definición a ƒ(x) y g(x) se obtiene:
image
Así la regla del producto puede enunciarse como sigue: “La derivada de un producto es igual al primer factor multiplicado por la derivada del segundo, más el segundo factor multiplicado por la derivada del primero”.
Ejemplo:
Encontrar la ƒ´(x) de la función ƒ(x) = (x2 + 2) (x2 + 4x - 3) usando la regla del producto:
image
En este ejemplo también se puede evaluar f’(x) multiplicando los dos factores x2+2y2x2+4x-3 y derivando el polinomio resultante.
7. Derivada de un cociente de funciones.
Sean f(x), g(x) y k(x) funciones, donde k(x)=f(x)/g(x), entonces:
imageRestando y sumando g(x)f(x) en el numerador del último cociente resulta:
imageO, equivalente:
image
Tomando el límite del numerador y el denominador se obtiene la regla del cociente:
imageEsta regla del cociente puede enunciarse: “La derivada de un cociente es igual al denominador multiplicado por la derivada del numerador menos el numerador multiplicado por la derivada del denominador, todo ello dividido entre el cuadrado del denominador”.
Ejemplo:
Encontrar la dy/dx de la función, usando la regla del cociente.:
image
image
8. Derivada de la función potencia con exponente negativo.
Sea f(x)=x-n, entonces usando la definición de x-n y la regla del cociente:
image9. Derivada de la potencia de una función:
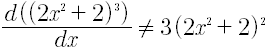
Las reglas de derivación anteriores se usan solamente para sumas, restas, productos y cocientes de expresiones de la forma donde es un entero. Para expresiones como (2x2+2)3 no se ha presentado ninguna regla que se aplique directamente. Es claro que:
imageCambiando la forma de la expresión se tiene:
image
Y entonces, derivando:
image
Por lo tanto:
imagePara estas expresiones es conveniente tener métodos mas sencillos para calcular la derivada. El que se usa en este caso sirve para expresar como una función compuesta de , es decir, si ƒ y g son funciones, tales que:
imageY si g(x) esta en el dominio de , entonces puede escribirse:
image
Por lo que es una función de ƒ. Esta última es la función compuesta ƒ º g. Ahora que y=(2x2+2)3 puede expresarse de esta manera, definiendo:
imagePara dar una idea del tipo de regla esperada, se observa que:
image
El objetivo es encontrar una fórmula para la derivada dy/dx de la función compuesta dada por:
imageSi f y g son derivables, entonces, usando la notación de diferenciales, se tiene:
imageConsiderando el producto:
imageY tratando las derivadas como cocientes de diferenciales, se llega a la siguiente regla:
imageQue proporciona la derivada correcta de =(22+2)3, pues escribiendo:
imageY usando la regla, se obtiene:
image
10. Regla de la cadena.
Si y=ƒ(u), u=g(x), y las derivadas dy/du y du/dx existen ambas, entonces la función compuesta definida por y=ƒ(g(x)) tiene una derivada dada por:
imageEjemplo.
Usando la regla de la cadena, encontrar la dy/dx de la función y=(3x2+7x-5)5.
Considerando:
image
Donde se expresa a y como una función compuesta de x. Entonces, por regla de la cadena:
image
11. Derivadas de las funciones logarítmicas.
a)  Sea u, una función donde ƒ/x) = loga u, entonces:
imageb) Sea u, una función donde  ƒ/x) = In(u), entonces:
image12. Derivadas de funciones exponenciales.
a) Sea u, una función donde  ƒ/x) = au, entonces:
imageb) Sea u, una función donde  ƒ/x) = eu, entonces:
imageEn síntesis, la forma de estudiar la solución de una derivada es a partir de la definición de límite y por ello se realizaron varios ejemplos de las derivadas de las funciones más importantes. Además, en el estudio de límite es importante para la verificación de una buena solución de la derivada de una función, pero el uso del calculo diferencial e integral va mas allá de su estudio matemático y permite conocer y modelar el desenvolvimiento de fenómenos naturales y sociales.

No hay comentarios.:

Publicar un comentario

¿Qué es la administración?

  Hablar de administración abarca desde antes de nuestra era, filósofos como Sócrates, Platón y Aristóteles la han incluido en sus disc...